黄山市东方苍龙文化旅游发展有限公司
弘扬传统文化,破除封建迷信
倡导科学理念,促进社会和谐
马

午年生人,其性好动不好静,多喜出风头,而对社会交际极为巧妙,且多管他人事,备受人敬爱,并有贵人牵引以至成功,此人欲好外观,对内事缺乏观察

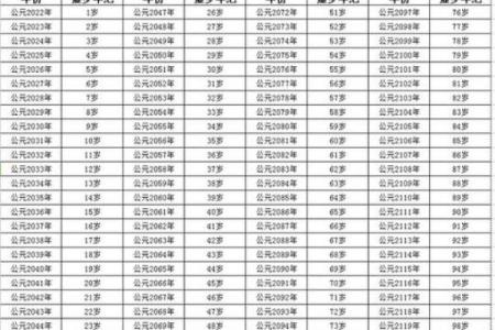
属马的人出生年份表
出生年份 2014年 2002年 1990年 1978年 1966年 1954年 1942年 1930年
今年几岁 12岁 24岁 36岁 48岁 60岁 72岁 84岁 96岁
属马人三合生肖
属马人相冲生肖

最新文章

2025年10月
27
农历 九月初七
乙巳年【蛇年】
丙戌月 己巳日

最新更新

十二生肖暗合星座揭秘人格特征

实例中,卧室窗帘风水旺的颜色

紫薇斗数如何兄弟多少

命由天定,运由己造:这5个农历吉日出生,福寿富贵

八字财印多

春夏哪个星座最好养花

紫薇斗数命运化解

12星座怎么设置自己的密码

文殊菩萨真言八字,普贤菩萨八字真言

八字算命
八字合婚
八字取名
民间算命

指纹算命

手相查询

痣相图解

生男生女

眼皮跳测吉凶

喷嚏预测

占卜抽签
快速算命
配对
配对
配对
配对
查询
生日密码